[Article] - A structural study and some magnetic properties of Hf1-xMoxFe2 Laves phase materials

Sous titre
This paper highlights the extreme sensitivity of the itinerant magnetism of the Fe-sublattice to the presence of Mo in the crystal lattice of HfFe2. It sheds light on the strong coupling between lattice and spin degrees of freedom in Hf1-xMoxFe2 intermetallic compounds.

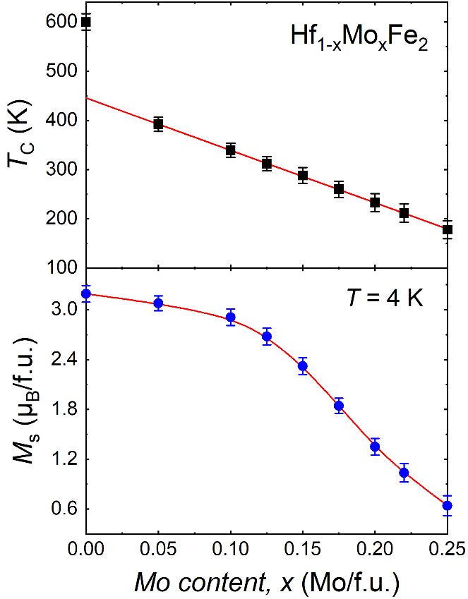
The effects of molybdenum substitution on the structural and magnetic properties of the Hf1 xMoxFe2 (0 ≤ x ≤ 0.25) transition metal based Laves phase materials have been studied by means of x-ray powder diffraction, scanning electron microscopy, energy dispersive x-ray microanalysis, and magnetization measurements. All of the intermetallic compounds form in the hexagonal MgZn2-type crystal structure (space-group symmetry P63/mmc) and exhibit ferromagnetic ground state. For the x = 0.1-0.25 alloys, microstructural analysis and diffraction data reveal that there are two hexagonal phases with different chemical compositions sharing the same P63/mmc lattice symmetry but having slightly different unit-cell parameters. This phenomenon in turn is rooted in partial segregation of hafnium and molybdenum, and a peculiar microstructure. Mo for Hf substitution in Hf1 xMoxFe2 induces an anisotropic shrinkage of the hexagonal cell: the initial contraction in the ab basal plane is more rapid than that along the high-symmetry direction c. It is further shown that the intrinsic magnetic properties, Curie temperature TC and spontaneous magnetization MS, are extremely sensitive to Mo content: a strong decrease of TC and a significant reduction of MS are observed. The ferromagnetic ordering temperature changes from 600 K for x = 0 to 178 K for x = 0.25.

Autors

Ibrahima Sarr, Olivier Isnard, Anne Vernière, Léopold Diop


References

I. Sarr, O. Isnard, A. Vernière, L. V. B. Diop, Journal of Alloys and Compounds 1037 (2025) 182354.


DOI

https://doi.org/10.1016/j.jallcom.2025.182354

 

Image
Image